Three New 24-Nortriterpenoids from the Roots of Ilex asprella
Ilex asprella (Hook. etArn.) Champ. exBenth. (Aquifoliaceae) is a deciduous shrub growing in southern China and Southeast Asia. The roots of I. asprella, known as “Gangmei“ in Guangdong Province of China, have been used as a folk medicine for the treatment of viral and bacterial infectious diseases, such as influenza, tonsillitis, sphagitis, tracheitis, and pertussis. Furthermore, it was also an important ingredient of many herbal beverages against viral and bacterial infections.
Prof.TAN Changheng’s group in Shanghai Institute of Materia Medica, CAS has been committed to the separation of work in traditional Chinese herbal active ingredients.Several constituents, such as steroids, triterpenoids, lignans, and flavonoids, as well as their glycosides, were isolated from the roots or leaves of I. asprella.
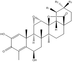
A continuing interest in antiviral plants prompted the researchers to investigate the chemical constituents of the title plant, leading to the isolation of asprellols A–C (1 – 3, resp.), and 2,6b-dihydroxy-3-oxo-11a,12a-epoxy-24-norursa-1,4-dien-28,13b-olide (4). The present work represents the first report on the occurrence of 24-norursane-typeand 24-noroleanane-type triterpenoids in the title plant, describing the isolation and structure elucidation of these new nortriterpenoids.
The result has been published online on “Helvetica ChimicaActa” (DOI: 10.1002/hlca.201300147)



Ilex asprella (Image by SIMM)

